Learn
Pricing
Create a ShowMe
Sign Up
Login
Home
Create a ShowMe
Learn
Pricing
Blog
Community Guidelines
FAQ
Contact Us
Log In
Sign Up
Edit Profile
Edit ShowMes
Students
Students' ShowMes
Settings
My Subscriptions
ShowMe Ambassadors
Logout
ShowMes
See More...
Topics
No results found
People
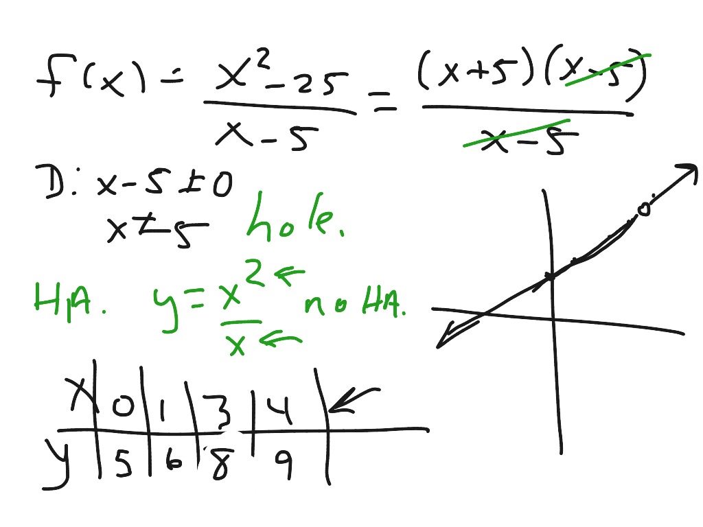
Graphing Inequalities
- Rational -
Courses
No results found.
You must be logged into ShowMe
Signup
- or -
Login
Please wait